https://www.acmicpc.net/problem/1005
접근
- 위상 정렬 알고리즘을 사용한다.
- 이전 순서의 건설 시간을 메모이제이션해서 현재 건물의 건설 시간을 계산한다.
- 현재 건물은 이전 순서의 건설 시간의 최댓값이 지난 후 건설이 시작된다.
풀이
from sys import stdin
from collections import deque
def topological_sort(target):
q = deque()
for i in range(1, N + 1):
if in_degree[i] == 0:
q.append(i) # (1)
dp = [0] * (N + 1)
while q:
now = q.popleft()
dp[now] += time[now - 1] # (2)
if now == target:
return dp[now]
for next in graph[now]: # (3)
in_degree[next] -= 1
dp[next] = max(dp[now], dp[next]) # (4)
if in_degree[next] == 0:
q.append(next)
T = int(stdin.readline())
for _ in range(T):
N, K = map(int, stdin.readline().split())
time = [*map(int, stdin.readline().split())]
graph = [[] for _ in range(N + 1)]
in_degree = [0] * (N + 1)
for _ in range(K):
a, b = map(int, stdin.readline().split())
graph[a].append(b)
in_degree[b] += 1 # (5)
W = int(stdin.readline())
print(topological_sort(W))
- (1) 진입 차수가 0인 노드를 큐에 삽입한다.
- (2) 자신의 건설 시간을 더한다.
- (3) 다음 노드를 순회하면서 진입 차수를 1씩 감소시키고, 진입 차수가 0이면 큐에 삽입한다.
- (4) 현재 차수 건설 시간의 최댓값을 저장한다.
- (5) a -> b 간선이 존재할 때 b의 진입 차수가 증가한다.
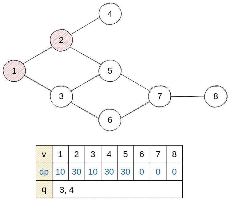
예시

- 정점(v)과 건설 시간(t), 간선 정보가 위와 같이 주어졌을 때 진입 차수가 0인 정점 1부터 큐에 삽입한다.

- now = 1 : dp에 자신의 건설 시간(10)을 더한다.
- next = 2, 3 : dp에 1의 건설 시간을 저장하고, 진입 차수가 0이 되어 큐에 삽입한다.

- now = 2 : dp에 자신의 건설 시간(20)을 더한다.
- next = 4, 5 : dp에 2의 건설 시간을 저장하고, 4는 진입 차수가 0이 되어 큐에 삽입한다.

- now = 3 : dp에 자신의 건설 시간(1)을 더한다.
- next = 5, 6 : 5는 2의 건설 시간이 더 크므로 3의 건설 시간을 저장하지 않고 6은 dp에 3의 건설 시간을 저장한다. 5, 6 모두 진입 차수가 0이 되어 큐에 삽입한다.

- now = 4 : dp에 자신의 건설 시간(5)을 더한다.

- now = 5 : dp에 자신의 건설 시간(8)을 더한다.
- next = 7 : dp에 5의 건설 시간을 저장한다.

- now = 6 : dp에 자신의 건설 시간(7)을 더한다.
- next = 7 : 5의 건설 시간이 더 크므로 6의 건설 시간을 저장하지 않고, 진입 차수가 0이 되어 큐에 삽입한다.

- now = 7 : dp에 자신의 건설 시간(1)을 더한다.
- next = 8 : dp에 7의 건설 시간을 저장하고, 진입 차수가 0이 되어 큐에 삽입한다.

- now = 8 : dp에 자신의 건설 시간(43)을 더한다.